Geology

So far, we have been investigating outward from the surface of a world, starting with the surface thermal balance upwards into the atmosphere. But looking inwards is equally interesting.

Usually the heat flux from the interior of a world is small compared with the heat received from a star. For Earth, the solar flux is more than 10.000 times larger than the interior flux. But interior heat manifests in volcanism and tectonics that can pile up mountains. The thickness of the solid crust determines how large these relief features can grow. For an ice world, the heat flux determines whether we can expect a sub-surface ocean or whether the world is frozen solid.

The geology module is geared towards answering such questions. It takes the structural composition of a world as input and tries to estimate the internal profile from there by first computing the heat flux coming from primordial, radiogenic and tidal heat and then using phase information to obtain local heat conductivity and a temperature gradient. Finally, using the profile information on crust thickness, the limits for elevations can be estimated.

Structure definitions

The first step is to provide the description of a world in terms of layers of materials. A world must have a core and may have an inner and outer mantle, i.e. up to three layers are possible, For standard worlds, materials are nickel_iron or sulfur_iron, silicate_rock and water_ice. For instance Earth has a core of nickel-iron surrounded by a mantle of silicate rock. More exotic worlds may have carbon and carborundum (silicon carbide) as materials (for which the phase structure isn't so well known at high pressure).

Materials must be ordered in density such that the denser materials are found in the core.

In addition, the geology module requires the age of the system in Gigayears (Gy) and the radioactive isotope abundancy relative to Earth. The latter parameter can reflect the fact that inside a solar system, the heavier elements tend to be concentrated closer to the central star, or the fact that the solar system as a whole is the result of many star generations (high concentration of heavy elements) or few (low concentration).

If one or two layers are specified, the solver can guess densities and determine the size of the layers from overall mass and radius. For three layers, the core radius must be specified to allow a unique solution.

The following section describes the structure of the Jupiter moon Europa:

geology
system_age_gy 4.5
core_material nickel_iron
mantle_material silicate_rock
outer_mantle_material water_ice
isotope_abundancy 1.0
tidal_dissipation 0.55
core_radius_km 750.0
depth_profile true
depth_profile_res_km 10

The solar system is 4.5 billion years old and has an Earth-like isotope abundancy. Europa has three layers, a nickel-iron core of 750 km radius, surrounded by a layer of silicate rock and an outer layer of water ice.

The parameter tidal_dissipation corrects the internal friction that the code assumes per default to the one actually measured for the moon. depth_profile

and depth_profile_res_km specify that a table of the internal profile is printed on-screen and that its resolution is supposed to be 10 km.

Running the file example31.cfg first outputs the following depth profile:

Geological depth profile
========================

Depth material phase T[K] p[kbar]
10.1 ice_I solid 251.61 0.1217
20.1 water liquid 267.26 0.2431
30.1 water liquid 267.27 0.3654
40.1 water liquid 267.27 0.4885
50.1 water liquid 267.27 0.6126
60.1 water liquid 267.27 0.7377
70.1 silicate_rock solid 346.63 1.022
80.1 silicate_rock solid 475.5 1.403
(...)

It can be seen than below a thin crust of ice there is liquid water right up to the rocky surface of the moon below the ocean. In addition to the depth profile, a lot of other information is written:

Geology
-----------
Core material: nickel_iron
Core radius [km]: 750
Core mass [m_earth]: 0.0021
Core mass fraction: 0.2624
Core vol. fraction: 0.1109
Core density [g/cm^3]: 7.096
Mantle material: silicate_rock
Mantle radius [km]: 747
Mantle mass [m_earth]: 0.005618
Mantle mass fraction: 0.7022
Mantle vol. frac.: 0.7712
Mantle dens. [g/cm^3]: 2.731
Outer material: water_ice
Outer radius [km]: 63.9
Outer mass [m_earth]: 0.0002828
Outer mass fraction: 0.03536
Outer vol. frac.: 0.1178
Outer dens. [g/cm^3]: 0.9
Crust thickness [km]: 11.1
Radiogenic heat [TW]: 0.2475
Radiog. flux [W/m^2]: 0.008083
Primordial heat [TW]: 0.0001288
Prim. flux [W/m^2]: 4.208e-06
Tidal heat [TW]: 0.8173
Tidal flux [W/m^2]: 0.02669
Total flux [W/m^2]: 0.03478
Heat dissipation mode: cryovolcanism
Max. elev. est. [km]: 0.555

This contains size, density, mass and volume fraction of all the defined layers, followed by the total power of radiogenic, primordial and tidal heat and the associated fluxes.

The thickness of the ice crust is found to be 11.1 km, and from that cryovolcanism is estimated as the primary mode of heat transfer through the crust (alternatives would be plate tectonics as on Earth and conduction as on Mars). Any form of volcanism typically means that heat transfer through the crust is very localized (basically where eruptions occur), as opposed to conduction where the actual heat flux is everywhere near the average value.

Finally, from the thin crust the code deduces that elevations on Europa can't be larger than about 550 m - which turns out to be close to reality as the moon is extremely flat.

Interior plots

Adding the followjng plot block to the config file allows to get a plottable file for the temperature profile:

plot
var_x depth_km
var_y internal_temperature
file europa_internal_T.dat
xmin 0.0
xmax 1500.0;
npoints 1000

Using internal_pressure instead allows to plot the pressure as function of depth.

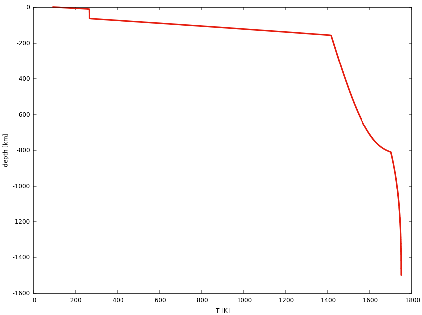
The result should be as follows:

Internal temperature profile of Europa.

The low depth temperature gradient is essentially driven by the low heat conductivity of ice and silicate rock which makes temperatures rise rapidly as a function of depth, except for the subsurface ocean which, as it supports convective heat transport, has constant temperature right to the bottom. Only when the silicate rock starts to melt enough to allow solid convection at around 200 km depth, the temperature increase changes to be very moderate right up into the core of the moon.

Thus, the geology code can obtain a fair share of additional information about a world from the specified structure.

Continue with Lagrange point orbits.


Back to main index     Back to science     Back to worldbuilder

Created by Thorsten Renk 2024 - see the disclaimer, privacy statement and contact information.